Красный пигмент 176-Corimax Red HF3C
Список параметров продукта
| Цветовой индекс № | Пигмент красный 176 |
| Наименование товара | Corimax Red HF3C |
| Категория продукта | Органический пигмент |
| Количество CAS | 12225-06-8 |
| Номер ЕС | 235-425-2 |
| Химическая Семья | бензимидазолоновые |
| Молекулярный вес | 572.57 |
| Молекулярная формула | C32H24N6O5 |
| Значение рН | 7 |
| плотность | 1.6 |
| Маслоемкость (мл / 100 г)% | 40-60 |
| Светостойкость (покрытие) | 6 |
| Термостойкость (покрытие) | 180 |
| Светостойкость (пластик) | 6-7 |
| Термостойкость (пластик) | 250 |
| Водостойкость | 5 |
| Сопротивление масла | 5 |
| Кислотостойкость | 5 |
| Сопротивление щелочи | 4-5 |
цвет | ![]() |
| Распределение оттенков |
Функции:
Pigment Red 176 - пигмент блестящего синеватого оттенка с высокими эксплуатационными характеристиками, отличной стойкостью, высокой термостойкостью, прозрачностью и устойчивостью к миграции.
TDS (красный пигмент 176) Паспорт безопасности (красный пигмент 176)Заявка:
Рекомендуется для промышленных красок, порошковых покрытий, печатных паст, ПВХ, резины, PS, PP, PE, PU, красок на водной основе, сольвентных красок, УФ-красок.
Рекомендуется для автомобильных красок, архитектурных покрытий, рулонных покрытий, офсетных красок.
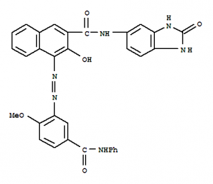
Молекулярная структура:

Физические и химические свойства: синий и красный. Светостойкость 6 уровня. Термостойкость выше 300 ℃. Устойчивость к органическим растворителям достигает 4-5 баллов, без миграции.
Использование продукта: В основном используется для окрашивания пластмасс.
Пигмент красный 176 спецификация :
2-Нафталинкарбоксамид, N- (2,3-дигидро-2-оксо-1Н-бензимидазол-5-ил) -3-гидрокси-4- [2- [2-метокси-5 - [(фениламино) карбонил] фенил ] диазенил] - это органическое соединение с формулой C32H24N6O5. Систематическое название этого химического вещества - 3-гидрокси-4- [2-метокси-5- (фенилкарбамоил) фенил] азо-N- (2-оксо-1,3-дигидробензимидазол-5-ил) нафталин-2-карбоксамид. С регистрационным номером CAS 12225-06-8 его также называют N- (2,3-дигидро-2-оксо-1H-бензимидазол-5-ил) -3-гидрокси-4 - [[2-метокси- 5 - [(фениламин) карбонил] фенил] азо] нафталин-2-карбоновая кислота. Категория продукта - Органика.
Физические свойства около 2-нафталинкарбоксамида, N- (2,3-дигидро-2-оксо-1Н-бензимидазол-5-ил) -3-гидрокси-4- [2- [2-метокси-5 - [(фениламино) карбонила ] фенил] диазенил] - это: (1) ACD / LogP: 6,96; (2) Количество Правил 5 Нарушений: 4; (3) ACD / LogD (pH 5,5): 6,95; (4) ACD / LogD (pH 7,4): 6,95; (5) #H акцепторы связи: 11; (6) #H доноров связи: 5; (7) # Свободно вращающиеся облигации: 8; (8) Площадь полярной поверхности: 153,51 Å2; (9) показатель преломления: 1,721; (10) Молярная рефракционная способность: 157,67 см3; (11) Молярный объем: 398,6 см3; (12) поляризуемость: 62,5 × 10-24 см3; (13) поверхностное натяжение: 61 дин / см; (14) Плотность: 1,43 г / см3; (15) температура вспышки: 357,3 ° С; (16) энтальпия испарения: 101,63 кДж / моль; (17) Точка кипения: 667,2 ° С при 760 мм рт. (18) Давление пара: 2,05-18 мм рт.ст. при 25 ° C.










